2022년 2회 신재생에너지발전설비기사(태양광) 기출문제 (필기시험, 4월 24일 시행)
2022년 2회 신재생에너지발전설비기사(태양광) 필기시험은 수탁 기관인 한국산업인력공단 시행 기능·기술 분야 기사, 산업기사 등급 및 서비스 분야 국가기술자격 정기검정 2회 필기 시험일인 4월 24일에 시행되었습니다.
도타비 문제은행의 신재생에너지발전설비기사(태양광) 필기 기출문제 모의고사에 수록된 2022년 2회 신재생에너지발전설비기사(태양광) 필기시험 기출문제 CBT는 회원 가입 등의 번거로운 절차 없이 인터넷 환경에서 PC 또는 모바일 기기 등을 이용하여 문제를 풀고 자동으로 채점한 후 틀린 문제 다시 풀기 등의 추가학습 기능이 탑재되어 있으며, 문제 파일이 첨부되어 있습니다.
도타비 문제은행의 신재생에너지발전설비기사(태양광) 필기 기출문제 모의고사 CBT에서는 연도별 자격시험 시행 회차별로 분류한 CBT와 랜덤 모의고사를 활용할 수 있습니다.
■ 2022년 2회 신재생에너지발전설비기사(태양광) 필기 기출문제 CBT 응시, 문제 파일 내려받기 (↓)
2022년 2회 신재생에너지발전설비기사(태양광) 필기 기출문제 CBT
2022년 2회 신재생에너지발전설비기사(태양광)
www.gunsys.com
■ 도타비 문제은행 신재생에너지발전설비기사(태양광) 필기 기출문제 모의고사, CBT (↓)
도타비 문제은행 :: 신재생에너지발전설비기사(태양광) 필기 기출문제 모의고사, CBT
신재생에너지발전설비기사(태양광) 필기시험 기출문제 모의고사, CBT
www.gunsys.com
■ 2022년 2회 신재생에너지발전설비기사(태양광) 필기 기출문제 (↓)

1. 전기공사업법령에 따른 전기공사업 등록기준 항목 중 자본금은 얼마 이상이어야 하는가?
① 1억 원
② 1억 5천만 원
③ 2억 원
④ 2억 5천만 원
2. 전기사업법령에 따른 전기사업의 허가기준에 대한 내용이다. 다음 ( )에 들어갈 내용으로 옳은 것은?
법 제7조 제5항 제4호에서 "대통령령으로 정하는 공급능력"이란 해당 특정한 공급 구역의 전력수요의 ( )퍼센트 이상의 공급능력을 말한다.
① 30
② 40
③ 50
④ 60
3. 태양광발전시스템의 교류 측 기기인 적산전력량계에 대한 설명으로 틀린 것은?
① 역송전한 전력량을 계측하여 전력요금을 산출한다.
② 역송전 계량용 적산전력량계는 전력회사 측을 전원측으로 접속한다.
③ 적산전력량계는 계량법에 의한 검정을 받은 적산전력량계를 사용한다.
④ 역송전한 전력량만을 분리계측하기 위하여 역전력방진장치가 부착된 것을 사용한다.
4. 신에너지 및 재생에너지 개발·이용·보급 촉진법령에 따라 신·재생에너지 설비 설치의무기관으로서 정부출연기관이 되려면, 정부가 연간 최소 얼마 이상을 출연해야 하는가?
① 5억 원
② 10억 원
③ 30억 원
④ 50억 원
5. 3㎾ 인버터의 입력범위가 25~35V이고, 최대 출력에서 효율이 89%이다. 최대 정격에서 인버터의 최대 입력전류는 약 몇 A인가?
① 96
② 113
③ 124
④ 135
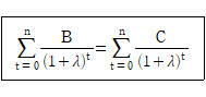
6. 다음 식은 경제성 분석방법 중 어떤 방법인가? (단, n:사업기간, B:편익, C:비용, λ:할인율이다.)

① 내부수익률 방법
② 순현재가치 방법
③ 수명주기비용 분석방법
④ 비용편익률 방법
7. 국토의 계획 및 이용에 관한 법령에 따른 개발행위허가 신청 시 첨부되는 서류로 틀린 것은?
① 토지분할인 경우 예산내역서
② 공작물 설치인 경우 설계도서
③ 토지 형질변경의 경우 배치도
④ 토석채취인 경우 공사 또는 사업관리 도서
8. 전기사업법령에 따라 전기설비의 설치 및 사업의 개시 의무에 대한 사항으로 틀린 것은?
① 발전사업자는 최초로 전력거래를 한 날부터 60일 이내에 신고하여야 한다.
② 전기사업자는 허가권자가 지정한 준비기간에 사업에 필요한 전기설비를 설치하고 사업을 시작하여야 한다.
③ 정당한 사유가 없는 한 준비기간은 10년의 범위에서 산업통상자원부장관이 정하여 고시하는 기간을 넘을 수 없다.
④ 허가권자는 전기사업을 허가할 때 필요하다고 인정하면 전기사업별 또는 전기설비별로 구분하여 준비기간을 지정할 수 있다.
9. 전기실의 설치 부지선정 시 고려사항으로 틀린 것은?
① 먼지가 없고 다습할 것
② 침수의 우려가 없을 것
③ 기기의 반·출입이 편리할 것
④ 진동이 없고, 지반이 견고할 것
10. 피뢰시스템-제1부:일반원칙(KS C IEC 62305-1:2012)에 따른 외부피뢰시스템에 해당하지 않는 것은?
① 수뢰부시스템
② 서지보호장치
③ 접지극시스템
④ 인하도선시스템
11. 서울의 위도가 37.34º일 때, 하지 시 태양의 남중고도로 옳은 것은?
① 29.16º
② 52.66º
③ 76.16º
④ 80.21º
12. 독립형 ESS용 축전지의 설계 시1일 적산부하전력량 2.4㎾h, 부조일수 10일, 보수율 0.8, 방전심도 65%, 축전지 셀 수가 48개일 때 축전지 용량은 약 몇 Ah인가? (단, 축전지 공칭전압은 2V/cell이다.)
① 281
② 381
③ 481
④ 581
13. 신에너지 및 재생에너지 개발·이용·보급 촉진법령에 따라 공용화 품목의 지정을 요청하려는 자가 국가기술표준원장에게 제출하여야 하는 지정요청서에 첨부하는 서류로 틀린 것은?
① 대상 품목의 명칭·규격 및 설명서
② 공용화 품목으로 지정받으려는 사유
③ 공용화 품목으로 지정될 경우의 기대효과
④ 공용화 품목으로 지정된 후 진행할 사업계획서
14. 신·재생에너지 설비의 지원 등에 관한 지침에 따라 주택지원사업의 경우 시공자는 설치 확인 완료 후 공사실적을 한국신·재생에너지협회에 신고할 수 있는 기간은 최대 몇 개월 이내인가?
① 1개월
② 2개월
③ 3개월
④ 4개월
15. 전기사업법령에 따라 태양광발전소 사업허가를 위한 계획서 작성 시 포함되어야 할 사항으로 틀린 것은?
① 사업계획개요
② 전기설비 운영계획
③ 온실가스 감축계획
④ 전기설비 건설계획
16. 전기사업법령에 따라 전기사업자가 공급하는 전기의 표준전압 및 표준주파수의 허용오차 범위기준에 관한 설명으로 틀린 것은?
① 110볼트의 상하로 6볼트 이내
② 220볼트의 상하로 15볼트 이내
③ 380볼트의 상하로 38볼트 이내
④ 60헤르츠의 상하로 0.2헤르츠 이내
17. 다음의 전력-전압 특성을 가지는 태양광발전 모듈에서 최대전력(Maximum Power, Pmax)을 얻기 위한 조건은?

① dP/dV>0
② dP/dV=0
③ dP/dV=1
④ dP/dV<0
18. 전기공사업법에서 산업통상자원부장관 또는 시·도지사 권한 중 대통령령으로 정하는 바에 따라 공사업자단체에 위탁할 수 있는 업무에 대한 설명으로 틀린 것은?
① 공사업의 양도에 따른 신고의 수리
② 공사업의 등록에 따른 등록신청의 접수
③ 전기공사에 필요한 자재 등 전기공사 관련 정보의 종합관리 및 제공
④ 등록사항 중 산업통상자원부령으로 정하는 중요 사항의 변경에 따른 등록사항 변경신고의 수리
19. 아몰퍼스 Si 태양전지의 특징이 아닌 것은?
① 구부러지기 쉽다.
② 경량의 기판 위에 형성 가능하다.
③ 제조에 필요한 온도는 약 1400℃로 높다.
④ 초기에 결정이 열화하여 효율이 감소된다.
20. 신에너지 및 재생에너지 개발·이용·보급 촉진법령에 따라 조성된 사업비의 사용 용도로 틀린 것은?
① 신·재생에너지 특성 산업단지 육성
② 신·재생에너지 시범사업 및 보급사업
③ 신·재생에너지 설비의 성능평가·인증
④ 신·재생에너지의 연구·개발 및 기술평가
21. 지반계측(KDS 11 10 15:2021)에 따라 계측의 목적을 효과적으로 확보하기 위해 수립하는 계측 계획서 작성 시 고려사항으로 틀린 것은?
① 계측결과의 수집방법
② 계측결과의 해석방법
③ 계측기기의 폐기방법
④ 계측결과를 유지 관리에 활용하는 방법
22. 전력기술관리법령에 따라 (설계업, 감리업)등록신청서에 작성하는 등록사항으로 틀린 것은?
① 자본금
② 기술인력
③ 기간 및 금액
④ 보유장비(감리업만 해당함)
23. 전력시설물 공사감리업무 수행지침에 따라 감리원은 공사업자로부터 시공상세도를 사전에 제출받아 공사업자가 제출한 날부터 7일 이내에 검토·확인하여 승인 한 후 시공할 수 있도록 하여야 한다. 다음 중 고려하지 않아도 되는 것은? (단, 7일 이내에 검토·확인이 불가능한 때에는 사유 등을 명시하여 통보하고, 통보사항이 없는 때에는 승인한 것으로 본다.)
① 계산의 정확성
② 실제시공 가능 여부
③ 폐품 또는 발생물의 유무 및 처리의 적정 여부
④ 설계도면, 설계설명서 또는 관계 규정에 일치하는지 여부
24. 정격용량이 250W인 태양광발전 모듈(8.1A, 30.9V)로 구성된 어레이(10직렬x30병렬)에서 태양광발전용 인버터까지의 거리가 120m, 전선의 단면적이 75㎟일 때 전압강하는 몇 V인가?
① 4.61
② 6.92
③ 11.98
④ 13.84
25. 설계감리업무 수행지침에 따라 설계감리원이 설계도면의 적정성을 검토함에 있어 확인하여야 하는 사항으로 틀린 것은?
① 도면 작성의 법률적 근거가 제시되었는지 여부
② 설계 결과물(도면)이 입력 자료와 비교해서 합리적으로 되었는지 여부
③ 도면 작성이 의도하는 대로 경제성, 정확성 및 적정성 등을 가졌는지 여부
④ 도면이 적정하게, 해석 가능하게, 실시 가능하며 지속성 있게 표현되었는지 여부
26. 전기설비기술기준에 따른 극저주파 전자계(Extremely Low Frequency Electric and Magnetic Fields: ELF EMF)라 함은 0㎐를 제외한 몇 ㎐ 이하의 전계와 자계를 말하는가?
① 150
② 200
③ 250
④ 300
27. 한국전기설비규정에 따라 고압 가공전선이 건조물과 접근하는 경우에 고압 가공전선이 건조물의 아래쪽에 시설될 때에는 고압 가공전선과 건조물 사이의 이격거리는 몇 m 이상이어야 하는가? (단, 전선이 케이블이 아닌 경우이다.)
① 0.3
② 0.4
③ 0.6
④ 0.8
28. 건축일반용어(KS F 1526:2010)에 따른 제도 및 설계 용어 중 물체의 형상을 한 시점에서 보이는 대로 평면 상에 나타낸 그림은?
① 단면도
② 상세도
③ 투시도
④ 투상도
29. 기초 내진 설계기준(KDS 11 50 25:2021)에 따라 기초구조물의 내진설계 시 얕은기초의 등가정적해석이 만족하여야 하는 기본사항으로 틀린 것은?
① 액상화 영향을 고려하여 기초 및 지반의 안정성을 평가한다.
② 기초에 작용하는 등가정적하중은 기초지반과 상부구조물의 응답특성을 고려하여 결정한다.
③ 얕은기초는 지지력, 전도, 활동에 대하여 안전하여야 하고, 변형 및 침하량이 허용치 이하 이어야 한다.
④ 말뚝기초 주변 지반에 대하여 액상화 가능성, 말뚝머리의 횡방향 변위 및 침하, 말뚝 본체의 파괴가능성 등을 검토한다.
30. 다음은 한국전기설비규정의 안전을 위한 보호에서 전압 규정을 나타낸 것이다. ( )에 들어갈 내용으로 옳은 것은? (단, 안전을 위한 보호에서 별도의 언급이 없는 경우이다.)
가. 교류전압은 ( ㉠ )(으)로 한다.
나. 직류전압은 ( ㉡ )(으)로 한다.
① ㉠ 최대값, ㉡ 실효값
② ㉠ 실효값, ㉡ 리플프리
③ ㉠ 리플프리, ㉡ 실효값
④ ㉠ 실효값, ㉡ 최대값
31. 한국전기설비규정에 따라 전기저장장치를 전용 건물에 시설하는 경우에 대한 설명이다. 다음( )에 들어갈 내용으로 옳은 것은?
이차전지는 벽면으로부터 ( )m 이상 이격하여 설치하여야 한다. 단, 옥외의 전용 컨테이너에서 적정 거리를 이격한 경우에는 규정에 의하지 아니할 수 있다.
① 1
② 1.5
③ 2
④ 2.5
32. 분산형전원 배전계통 연계 기술기준에 따라 분산형전원을 특고압 한전계통에 연계하는 경우 연계계통의 전기방식으로 옳은 것은?
① 교류 단상 22.9㎸
② 교류 삼상 22.9㎸
③ 교류 단상 154㎸
④ 교류 삼상 154㎸
33. 전력시설물 공사감리업무 수행지침에 따라 발주자는 설계변경 방침 결정 요구를 받은 경우 설계변경에 대한 기술검토를 위하여 소속직원으로 기술검토팀(T/F팀)을 구성(필요시 민간전문가 구성)·운영 할 수 있으며, 이 경우 단순사항은 며칠 이내에 방침을 확정하여 책임감리원에게 통보하여야 하는가?
① 3
② 5
③ 7
④ 14
34. 전력시설물 공사감리업무 수행지침에 따라 감리원은 공사업자가 도급받은 공사를「전기공사업법」에 따라 하도급 하고자 발주자에게 통지하거나, 동의 또는 승낙을 요청하는 사항에 대해서는「전기공사업법 시행규칙」 별지 제20호서식의 전기공사 하도급 계약통지서에 관한 적정성 여부를 검토하여 요청받은 날부터 며칠 이내에 발주자에게 의견을 제출하여야 하는가?
① 3
② 5
③ 7
④ 14
35. 태양광발전소의 단선결선도에 작성하는 다음 그림기호의 명칭으로 옳은 것은?

① 시험용 전압 단자
② 시험용 전류 단자
③ 전자 접촉기 접점
④ 계기용 절환 개폐기
36. 태양광발전시스템을 건축물에 설치하는 경우 설치 부위에 따른 구분 중 지붕에 설치하는 형식으로 틀린 것은?
① 창재형
② 지붕설치형
③ 지붕건재형
④ 톱라이트형
37. 신재생발전기 송전계통 연계 기술기준에 따라 신재생발전기는 최소 출력 이상으로 발전기를 운전하는 경우 몇 분 평균값으로 측정된 유효전력 발전량이 규정된 값을 초과하지 않도록 출력 상한을 조정 가능해야 하는가?
① 3
② 5
③ 7
④ 10
38. 전력기술관리법령에 따라 시·도지사가 산업통상자원부령으로 정하는 바에 따라 그 등록을 취소만 명할 수 있는 설계업자 및 감리업자의 위반사항으로 옳은 것은?
① 다른 사람에게 등록증을 빌려준 경우
② 거짓이나 그 밖의 부정한 방법으로 등록을 한 경우
③ 이 법을 위반하여 형의 집행유예를 선고받고 그 유예 기간 중에 있는 사람
④ 설계 또는 공사감리를 성실하게 하지 아니하여 일반인에게 위해를 끼치거나 전력시설물을 현저히 부실하게 시공하게 한 경우
39. 태양 고도각 20º 태양광발전 어레이 경사각 30º 어레이 길이가 2m일 때 어레이 간 이격거리는 약 몇 m인가?
① 3.06
② 4.48
③ 4.77
④ 5.21
40. 폐쇄배전반 내 시설하는 고압케이블과 저압케이블 사이의 이격거리는 몇 ㎝ 이상이어야 하는가? (단, 상호 간에 견고한 내화성 격벽을 시설하거나, 상호 간에 난연성 케이블을 사용하여 접촉하지 아니하도록 시설할 경우는 그러지 아니하다.)
① 1
② 5
③ 10
④ 15
41. 태양광발전시스템에서 지락 발생 시 누전차단기로 보호할 수 없는 경우가 발생하는 이유는?
① 지락전류에 직류성분이 포함되어 있기 때문에
② 인버터의 출력이 직접 계통에 접속되기 때문에
③ 태양광발전 어레이와 계통 측이 절연되어 있지 않기 때문에
④ 태양광발전 어레이에서 발생하는 지락전류의 크기가 매우 크기 때문에
42. 1W∙s와 동일한 단위는?
① 1J
② 1㎾h
③ 1㎏·m
④ 860kcal
43. 다음 [보기]의 내용으로 알맞은 배전방식은?
- 변압기의 공급 전력을 서로 융통시킴으로써 변압기 용량 저감 가능
- 전압 변동 및 전력 손실 경감
- 부하의 증가에 대한 탄력적 대응
- 고장에 대한 보호방법이 적절하고 공급 신뢰도 향상
- 캐스케이딩 현상 발생
① 방사선 방식
② 저압 뱅킹 방식
③ 저압 네트워크 방식
④ 스포트 네트워크 방식
44. 3상1회선 송전선로의 길이가 100㎞, 작용 커패시턴스 0.0088㎌/㎞, 주파수 60㎐, 선간전압 154㎸일 때 충전전류는 약 몇 A인가?
① 29.5
② 51.09
③ 88.5
④ 153.27
45. 정전용량 5㎌인 커패시터에 1000V의 전압을 가할 때 추적되는 전하(C)는?
① 2×10⁻³
② 5×10⁻³
③ 2×10⁻²
④ 5×10⁻²
46. 한국전기설비규정에 따른 전선관시스템의 공사방법으로 틀린 것은?
① 케이블공사
② 금속관공사
③ 합성수지관공사
④ 가요전선관공사
47. 수·변전설비 중 저압 배전반의 뒷면 또는 점검면에서 사람이 통행할 수 있는 최소 거리는 몇 m 이상이어야 하는가?
① 0.6
② 0.8
③ 1.2
④ 1.4
48. 다음 논리회로와 등가인 논리게이트는?

① OR
② AND
③ NOT
④ NAND
49. 전기설비기술기준에 따른 저압전로의 절연성능에서 전로의 사용전압에 대한 절연저항의 기준으로 틀린 것은? (단, 절연저항은 전로와 대지 사이의 값이다.)
① SELV - 0.5㏁ 이상
② FELV - 1.0㏁ 이상
③ 500V 초과 - 1.0㏁ 이상
④ PELV - 2.0㏁ 이상
50. 신·재생에너지 설비 지원 등에 관한 지침에 따른 태양광발전 모듈의 시공기준에 대한 설명으로 틀린 것은?
① 모듈 전면의 음영이 최대화되어야 한다.
② 경사각은 현장 여건에 따라 조정하여 설치할 수 있다.
③ 방위각은 그림자의 영향을 받지 않는 곳에 정남향 설치를 원칙으로 한다.
④ 단위 모듈당 용량에 따라 설계용량과 동일하게 설치할 수 없을 경우에 한하여 설계용량의 110% 이내까지 가능하다.
51. 콘크리트용 앵커 중 선설치 앵커(cast-in-place anchor)에 해당하지 않는 것은?
① 헤드 볼트 앵커
② 언더컷 볼트 앵커
③ 스터드 볼트 앵커
④ 갈고리 볼트 앵커
52. 전력계통의 전압을 조정하는 조상설비 중 진상 또는 지상의 무효전력 조정이 가능한 것은?
① 단로기
② 분로리액터
③ 동기조상기
④ 전력용커패시터
53. 저전압계전기의 정격전압 정정 시 정격전압의 몇 % 범위에서 정정하는 것이 적당한가?
① 10~30%
② 35~55%
③ 60~80%
④ 90~105%
54. 한국전기설비규정에 따라 덕트를 조영재에 붙이는 경우에는 덕트의 지지점 간의 거리를 몇 m 이하로 하여야 하는가? (단, 취급자 이외의 자가 출입할 수 있도록 설비한 곳이다.)
① 1.5
② 2
③ 3
④ 6
55. 공사 중 발생 가능한 안전사고의 간접 원인이 아닌 것은?
① 기술적 원인
② 관리적 원인
③ 인적 원인
④ 교육적 원인
56. 순방향으로 바이어스된 베이스-이미터 트랜지스터 회로의 컬랙트 전류 ic가 4.65㎃, 베이스 전류 iʙ가 0.0465㎃인 경우 DC 전류이득 βᴅc는?
① 0.01
② 0.22
③ 4.7
④ 100
57. 피뢰시스템의 등급이 IV인 경우 인하도선 사이의 최적 간격은 몇 m인가?
① 5
② 10
③ 15
④ 20
58. 한국전기설비규정에 따라 배선 설비의 접속방법 선정 시 고려하는 사항으로 틀린 것은?
① 도체의 단면적
② 도체와 절연재료
③ 도체의 설치위치
④ 도체를 구성하는 소선의 가닥수와 형상
59. 얕은기초(KCS 11 50 05:2021)에서 기초터파기 및 바닥면 마무리에 대한 내용이다. 다음 ( ) 안에 알맞은 것은?
암반지지 기초의 경우 바닥면의 경사가 ( ) 이상인 경우 계단식 또는 톱니식으로 마무리 하여야 한다.
① 1:1
② 1:2
③ 1:3
④ 1:4
60. 1일 사용전력량이 240㎾h, 수용전력이 20㎾인 수전설비의 부하율은 몇 %인가?
① 20%
② 50%
③ 80%
④ 120%
61. 산업안전보건법령에 따라 작업내용 변경 시 일용근로자를 제외한 근로자를 대상으로 하는 안전보건교육의 교육시간은 몇 시간 이상인가?
① 1
② 2
③ 4
④ 8
62. 태양광발전 접속함(KS C 8567:2019)에 따른 절연 특성 시험 중 내전압 시험방법 시 서로 연결된 주 회로의 모든 극과 접지된 외함(절연성의 경우 외함의 금속박)사이에 시험 전압 값을 인가한 후 몇 초 동안 유지하여야 하는가?
① 1
② 3
③ 5
④ 10
63. 인버터의 육안 점검항목이 아닌 것은?
① 이상음, 이취, 발연
② 가대의 부식과 녹슴
③ 외함의 부식 및 파손
④ 외부 배선(접속 케이블) 손상
64. 절연용 방호구의 선정 및 관리 등에 관한 기술지침에 따라 덮개의 구조에 대한 설명으로 틀린 것은?
① 덮개의 두께는 일정하고 균일한 품질이어야 한다.
② 덮개를 설치하였을 때, 충전부는 노출되는 구조이어야 한다.
③ 2개 이상의 덮개를 연결하여 사용할 때, 연결과 분리가 간편하고 설치 및 해체가 용이해야 한다.
④ 덮개를 선로 등에 설치하였을 때, 회전되거나 탈락되지 않아야 하고 연결부가 분리되지 않은 구조이어야 한다.
65. 태양광발전시스템의 계측 및 표시에 필요한 기기로 틀린 것은?
① 교류회로 전압 측정을 위한 분류기
② 계측 데이터를 복사, 보존하기 위한 기억장치
③ 검출된 전압, 전류 전력 등의 데이터 전송을 위한 신호변환기
④ 일시 계측 데이터를 적산하여 평균값 및 적산 값을 얻기 위한 연산장치
66. 정전작업 중 조치사항에 대한 설명으로 틀린 것은?
① 개폐기의 관리
② 작업지휘자에 의한 작업지휘
③ 근접 활선에 대한 방호상태 관리
④ 검전기로 개로된 전로의 충전 여부 확인
67. 건물일체형 태양광 모듈(BIPV)-성능평가 요구사항(KS C8577:2016)에 따른 역전류 과부하 시험에서 모듈의 과전류 보호 정격의 몇 %를 가하여 역전류가 모듈을 지나 흐르도록 하는가?
① 90
② 110
③ 125
④ 135
68. 태양광발전시스템에서 사용되는 배선 케이블의 손상유무를 파악하는 육안점검 사항으로 틀린 것은?
① 배선의 저항
② 배선의 늘어짐
③ 배선의 결선상태
④ 배선의 변색 및 변형
69. 중대형 태양광발전용 인버터(계통연계형, 독립형)(KS C 8565:2021)에 따른 구조 시험의 품질기준은 KS C 8536 규정을 만족하고 출력 전력, 전압, 전류는 실제값과 오차가 몇 % 이내이어야 하는가?
① 1
② 2
③ 3
④ 4
70. 태양광발전시스템을 운영하기 위하여 필요한 계측장비로 틀린 것은?
① IV checker
② 열화상 카메라
③ 폐쇄력 측정기
④ 솔라 경로추적기
71. 태양광 시스템용 배터리 충전 컨트롤러-성능 및 기능(KS C IEC 62509:2010)에 따라 배터리 수명 보호 요구조건의 권장 충전 단계에서 배터리 충전 컨트롤러는 주기적으로 배터리에 균등 충전을 제공해야 하며, 균등 충전의 주기는 며칠 이상이어야 하는가?
① 3일
② 5일
③ 7일
④ 14일
72. 태양광발전소 설비용량이 200㎾, SMP가 90원/㎾h, 가중치 적용 전 REC가 120원/㎾h, 1개월간 생산한 전력량이 10MWh일 때 발전수익은 얼마인가? (단, “SMP+1REC×가중치” 계약방식이며, 일반부지에 설치하는 것으로 한다.)
① 1740000원
② 2100000원
③ 2220000원
④ 2415000원
73. 전기설비 검사 및 점검의 방법·절차 등에 관한 고시에 따른 사업용 태양광발전설비의 정기점검 시 종합검사의 검사항목에 해당하지 않는 것은?
① 종합연동시험
② 조상설비시험
③ 부하운전시험
④ 부지 및 구조물
74. 산업안전보건기준에 관한 규칙에 따라 물체의 낙하·충격, 물체에의 끼임, 감전 또는 정전기의 대전(帶電)에 의한 위험이 있는 작업 시 착용하는 보호구는?
① 보안면
② 발열복
③ 안전화
④ 방진마스크
75. 전기설비 검사 및 점검의 방법·절차 등에 관한 고시에 따라 사업용 태양광발전설비의 정기점검 시 태양광 전지의 수검자 준비자료 중 측정 및 점검기록표에 해당하지 않는 것은?
① 절연내력시험 성적서
② 접지저항시험 성적서
③ 절연저항시험 성적서
④ 보호장치 및 계전기시험 성적서
76. 전기안전관리법령에 따라 개인 대행자가 전기안전관리업무를 대행할 수 있는 태양광발전설비의 규모로 옳은 것은? (단, 원격감시 및 제어기능을 갖춘 경우이다.)
① 용량 250킬로와트 미만
② 용량 500킬로와트 미만
③ 용량 750킬로와트 미만
④ 용량 1000킬로와트 미만
77. 인버터의 계통 전압이 규정치 이상일 경우 인버터의 표시내용으로 옳은 것은?
① Utility Line Fault
② Line Over Voltage Fault
③ Line Phase Sequence Fault
④ Inverter Over Curent Fault
78. 태양광발전시스템 운영 시 비치 서류가 아닌 것은?
① 건설 관련 도면
② 송전 관계 알람도
③ 시방서 및 계약서
④ 구조물의 구조계산서
79. 태양광발전시스템의 운영방법에 대한 설명으로 틀린 것은?
① 모듈을 표면의 온도가 높을수록 발전효율이 높으므로 강한 빛을 받도록 한다.
② 모듈은 고압 분사기를 이용하여 정기적으로 물을 뿌려 이물질을 제거하여 발전효율을 높인다.
③ 태양광발전설비의 고장 요인이 대부분 인버터에서 발생하므로 정기적으로 정상 가동 여부를 확인한다.
④ 구조물이나 구조물 접합 자재에 부분적인 발청 현상이 있을 경우 녹 방지 페인트, 은분 등으로 도포 처리를 해 준다.
80. 산업안전보건법령에 따른 다음 안전보건표지의 내용으로 옳은 것은?

① 고압전기 경고
② 레이저광선 경고
③ 방사성물질 경고
④ 폭발성물질 경고