2022년 2회 사회조사분석사 2급 기출문제 (필기시험, 4월 24일 시행)
ExamData 2024. 3. 19. 14:362022년 2회 사회조사분석사 2급 필기시험은 수탁 기관인 한국산업인력공단 시행 기능·기술 분야 기사, 산업기사 등급 및 서비스 분야 국가기술자격 정기검정 2회 필기 시험일인 4월 24일에 시행되었습니다.
도타비 문제은행의 사회조사분석사 2급 필기 기출문제 모의고사에 수록된 2022년 2회 사회조사분석사 2급 필기시험 기출문제 CBT는 회원 가입 등의 번거로운 절차 없이 인터넷 환경에서 PC 또는 모바일 기기 등을 이용하여 문제를 풀고 자동으로 채점한 후 틀린 문제 다시 풀기 등의 추가학습 기능이 탑재되어 있으며, 문제 파일이 첨부되어 있습니다.
도타비 문제은행의 사회조사분석사 2급 필기 기출문제 모의고사 CBT에서는 연도별 자격시험 시행 회차별로 분류한 CBT와 랜덤 모의고사를 활용할 수 있습니다.
■ 2022년 2회 사회조사분석사 2급 필기 기출문제 CBT 응시, 문제 파일 내려받기 (↓)
2022년 2회 사회조사분석사2급 필기 기출문제 CBT
2022년 2회 사회조사분석사2급
www.gunsys.com
■ 도타비 문제은행 사회조사분석사 2급 필기 기출문제 모의고사, CBT (↓)
도타비 문제은행 :: 사회조사분석사2급 필기 기출문제 모의고사, CBT
사회조사분석사2급 필기시험 기출문제 모의고사, CBT
www.gunsys.com
■ 2022년 2회 사회조사분석사 2급 필기 기출문제 (↓)

1. 실증주의에 관한 설명으로 틀린 것은?
① 관찰결과의 일반화 가능성을 강조한다.
② 과학과 비과학을 철저히 구분하려 한다.
③ 인간 행위를 예측할 수 있는 확률적 법칙을 강조한다.
④ 인간 행위의 사회적 의미를 행위자의 입장에서 이해하려 한다.
2. 개념(Concepts)의 정의와 가장 거리가 먼 것은?
① 일정한 관계 사실에 대한 추상적인 표현
② 사실과 사실 간의 관계에 논리의 연관성을 부여하는 것
③ 특정한 여러 현상들을 일반화함으로써 나타나는 추상적인 용어
④ 현상을 예측 설명하고자 하는 명제. 이론의 전개에서 그 바탕을 이루는 역할
3. 개방형 질문에 대한 설명으로 틀린 것은?
① 강제성이 없으며, 다양한 응답을 얻을 수 있다.
② 특정 견해에 대한 탐색적 질문방법으로 적합하다.
③ 표현상의 차이는 있으나 응답에 대한 동일한 해석이 가능하므로 응답의 일관성을 유지할 수 있다.
④ 자유웅답형 질문으로 응답자가 할 수 있는 응답의 형태에 제약을 가하지 않고 자유롭게 표현하는 방식이다.
4. 다음 사례에서 영향을 미칠 수 있는 대표적인 타당도 저해 요인은 무엇인가?
체육활동을 진행한 후에 대상 청소년들의 키가 부쩍 자랐다. 이 결과를 통해 체육활동이 청소년의 키 성장에 크게 효과가 있다고 추론하였다.
① 외부사건 (History)
② 검사효과(Testing Effect)
③ 성숙효과(Maturation Effect)
④ 도구효과(Instrumentation)
5. 다음에서 설명하는 가설의 종류는?
- 대립가설과 논리적으로 반대의 입장을 취하는 가설이다.
- 수집된 자료에서 나타난 차이나 관계가 우연의 법칙으로 생긴 것이라는 진술로 “차이나 관계가 없다”는 형식을 취한다.
① 귀무가설
② 통계적 가설
③ 대안가설
④ 설명적 가설
6. 면접법의 장점으로 틀린 것은?
① 관찰을 병행할 수 있다.
② 신축성 있게 자료를 얻을 수 있다.
③ 질문순서. 정보의 흐름을 통제할 수 있다.
④ 익명성이 높아 솔직한 의견을 들을 수 있다.
7. 관찰법(Observation Method)의 분류기준에 대한 설명으로 틀린 것은?
① 관찰이 일어나는 상황이 인공적인지 여부에 따라 자연적/인위적 관찰로 나누어진다.
② 관찰 시기가 행동발생과 일치하는지 여부에 따라 체계적/비체계적 관찰로 나누어진다.
③ 피관찰자가 관찰 사실을 알고 있는지 여부에 따라 공개적/비공개적 관찰로 나누어진다.
④ 관찰주체 또는 도구가 무엇인지에 따라 인간의 직접적/기계를 이용한 관찰로 나누어진다.
8. 다음 중 가급적 적은 수의 변수로 보다 많은 현상을 설명하고자 하는 것은?
① 간결성의 원칙(principle of parsimony)
② 관료제의 철칙(iron law of bureaucracy)
③ 배제성의 원칙(principle of exclusiveness)
④ 포괄성의 원칙(principle of exhaustiveness)
9. 패널조사에 관한 설명으로 틀린 것은?
① 종단적 조사의 성격을 지닌다.
② 반복적인 조사과정에서 성숙효과. 시험효과가 나타날 수 있다.
③ 패널 운영 시 자연 탈락된 패널 구성원은 조사결과에 크게 영향을 미치지 않는다.
④ 특정 조사대상자들을 선정해 놓고 반복적으로 실시 하는 조사방법을 의미한다.
10. 집단조사(group questionnaire survey)의 특징과 거리가 가장 먼 것은?
① 집단조사는 집단이 속한 조직을 연구하는 데에만 사용할 수 있다.
② 집단으로 조사되므로 주변 사람이 응답자에 영향을 미칠 가능성이 높다.
③ 일반적으로 집단조사를 승인한 조직체나 단체에 유리한 쪽으로 응답할 가능성이 높다.
④ 집단이 속한 조직으로부터 적절한 협조가 있으면 비용과 시간을 절약할 수 있는 조사기법이다.
11. 초점집단(focus group) 조사에 관한 설명으로 옳은 것은?
① 조사결과가 체계적이기 때문에 결과의 분석과 해석이 용이하다.
② 초점집단 조사는 내용타당도를 높이는 목적으로 사용될 수 있다.
③ 초점집단 조사의 자료수집 과정에서는 연구자의 주관적 개입이 불가능 하다.
④ 초점집단 조사에서는 익명 집단의 상호작용을 통해 도출된 자료를 분석하다.
12. 다음 중 연구가설의 기능과 가장 거리가 먼 것은?
① 경험적 검증의 절차를 시사해 준다.
② 현상들의 잠재적 의미를 찾아내고 현상에 질서를 부여할 수 있다.
③ 문제해결에 필요한 관찰 및 실험의 적정성을 판단 하게 한다.
④ 다양한 연구문제를 동시에 해결하기 위해 많은 종류의 변수들을 채택하게 되므로 복잡한 변수들의 관계를 표시한다.
13. 어느 제조업 공장에 근무하는 현장 사원들과 관리자들 간에 유지되고 있는 사회적 관계의 특성을 규명하기 위해 참여관찰인 현장 조사를 실시할 경우의 장점이 아닌 것은?
① 조사과정의 유연성
② 가설도출이 가능한 인과적 연구
③ 조사결과의 높은 일반화 가능성
④ 현장상황에 따라 조사내용 변경 가능
14. 일반적으로 자료수집 현장에서 수행하는 일이 아닌 것 은?
① 슈퍼바이저가 완성된 조사표 심사
② 기본적인 정보의 상호일치성 점검
③ 조사원에 대한 슈퍼바이저의 면접지도
④ 이전의 통계표를 이용한 조사내용의 확인
15. 다음의 특성을 가진 연구방법은?
- 자연스러운 상태에서 현상을 파악할 수 있기 때문에 미묘한 어감 차이, 시간상의 변화 중 심층의 차원을 이해할 수 있다.
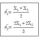
- 때때로 객관적인 판단을 그르칠 수 있으며 대규모 모집단에 대한 기술이 어렵다.
① 우편조사(mail survey)
② 내용분석(contents analysis)
③ 유사실험(quasi-experiment)
④ 참여관찰(participant observation)
16. 의약분업을 하게 되면 국민들이 약의 오∙남용을 줄일 수 있기 때문에 국가적으로 의료비의 지출이 줄게 된다. 이 사실을 기초로 의약분업을 실시하게 되면 환자 들은 적은 비용으로 치료를 받을 수 있게 된다고 주장 한다면 그 주장은?
① 올바른 주장이다.
② 환원주의 오류(reductionism fallacy)를 범할 가능성이 있다.
③ 생태학적 오류(ecological fallacy)를 범할 가능성이 있다.
④ 개인주의적 오류(individualistic fallacy)를 범할 가능성이 있다.
17. 질문지를 설계할 때 폐쇄형 응답식으로 할 때의 장점은?
① 심층적인 정보를 얻기가 용이하다.
② 수집된 자료의 수량적 분석이 용이하다.
③ 응답자로부터 포괄적인 응답을 얻을 수 있다.
④ 연구를 시작할 때 기초정보 수집에 적절하다.
18. 2차 자료에 대한 설명으로 옳은 것은?
① 1차 자료에 비해 비용과 시간을 절약할 수 있다.
② 현재 연구 중인 조사목적에 따른 정확도, 신뢰도, 타당도를 평가할 수 있다.
③ 1차 자료에 비해 조사목적에 적합한 정보를 의사결정이 필요한 시기에 적절히 이용하기 쉽다.
④ 조사자가 현재 수행 중인 연구의 목적을 달성하기 위해 적절한 조사설계를 통하여 직접 수집한 자료이다.
19. 질문지 구성에 관한 설명으로 가장 타당한 것은?
① 사회적 규범 편향(social desirability bias)은 보수적인 사회일수록 더 높다.
② 중간범주를 생략한 경우에는 선택 범주에 대한 강도를 측정할 필요가 없다.
③ 마지막 범주를 선택하는 최후효과(recency effect) 는 부동적 응답자일수록 크게 나타난다.
④ 태도를 제대로 측정하기 위해서는 응답자들이 잘 알지 못하는 응답범주를 삽입하는 것이 좋다.
20. 연구문제가 설정된 후 연구문제를 정의하는 과정을 바르게 나열한 것은?
ㄱ. 문제를 프로그램 미션과 목적에 관련시킨다.
ㄴ. 문제의 배경을 검토한다.
ㄷ. 무엇을 측정할 것인가를 결정한다.
ㄹ. 문제의 하위영역, 구성요소, 요인들을 확립한다.
ㅁ. 관련 변수들을 결정한다.
ㅂ. 연구목적과 관련 하위목적을 설정한다.
ㅅ. 한정된 변수, 목적, 하위목적들에 대한 예비조사를 수행한다.
① ㄱ→ㄴ→ㄹ→ㄷ→ㅁ→ㅂ→ㅅ
② ㄱ→ㄴ→ㄷ→ㄹ→ㅁ→ㅂ→ㅅ
③ ㄱ→ㄴ→ㅁ→ㄹ→ㅂ→ㄷ→ㅅ
④ ㄱ→ㄴ→ㅂ→ㅁ→ㄹ→ㄷ→ㅅ
21. 분석단위의 혼란에서 오는 오류 중 개인의 특성에 관한 자료로부터 집단의 특정을 도출할 경우 발생하기 쉬운 오류는?
① 생태학적 오류
② 비표본 오차
③ 개인주의적 오류
④ 체계적 오류
22. 폐쇄형 질문의 응답범주 작성원칙으로 옳은 것은?
① 범주의 수는 많을수록 좋다.
② 관련된 현상 중 가장 중요한 것만 범주로 제시한다.
③ 제시된 범주들 사이에 약간의 중복은 있어도 무방 하다.
④ 제시된 범주가 가능한 모든 응답범주를 다 포함해야 한다.
23. 양적-질적 연구방법의 비교에서 질적 연구방법에 대한 옳은 설명을 모두 고른 것은?
ㄱ. 심층 규명(probing)을 한다.
ㄴ. 연구자의 주관성을 활용한다.
ㄷ. 연구도구로 연구자의 자질이 중요하다.
ㄹ. 선(先)이론 후(後)조사의 방법을 활용한다.
① ㄴ, ㄹ
② ㄱ, ㄴ, ㄷ
③ ㄱ, ㄷ, ㄹ
④ ㄱ, ㄴ, ㄷ, ㄹ
24. 참여관찰법에 비해 조사연구(survey research)가 가지는 장점으로 맞는 것은?
① 연구의 융통성이 크다.
② 시간과 비용을 절약할 수 있다.
③ 연구 대상을 심층적으로 관찰할 수 있다.
④ 대규모 모집단의 특성을 기술할 수 있다.
25. 기술적 조사의 특성과 거리가 가장 먼 것은?
① 연구의 반복이 어렵다.
② 설명적 조사의 기초자료를 제공한다.
③ 패널조사(panel study)도 여기에 속한다.
④ 표준화된 문항을 사용하여 측정의 일관성을 유지할 수 있다.
26. 비표준화(비구조화) 면접의 장점으로 짝지어진 것은?
A. 융통성이 있다.
B. 면접결과의 신뢰도가 높다.
C. 면접결과자료의 수량화 및 통계처리가 용이하다.
D. 표준화면접에서 필요한 변수를 찾아내는데 유용한 자료를 제공한다.
① A, B
② A. D
③ B. C
④ C, D
27. 질문지 초안 완성 후 실시하는 사전검사에 관한 설명으로 맞는 것은?
① 사전검사 표본수는 본조사와 비슷해야 한다.
② 사전검사는 본조사의 조사방법과 같아야 한다.
③ 사전검사는 가설을 보다 명확히 하기 위한 조사이다.
④ 사전검사 결과는 본조사에 포함시켜 분석하여야 한다.
28. 다음 설명은 외생변수를 통제하는 방법 중 무엇에 해당 하는가?
하나의 실험집단에 2개 이상의 실험변수가 가해지는 경우 사용하는 방법이다. 예를 들면 두 가지 광고 A와 B에 대한 사람들의 선호도를 알아보고자 할 때. 광고의 제시 순서가 그 광고에 대한 사람들의 선호도에 영향을 미칠 수 있다. 이때 실험집단 참여자의 반에게는 광고를 A→의 순으로 제시하고, 나머지 반에게는 B→A의 순으로 제시하여 각 광고에 대한 그들의 선호도를 측정한다.
① 매칭 (matching)
② 제거 (elimination)
③ 상쇄 (counterbalancing)
④ 무작위화(randomization)
29. 특정 시점에 다른 특성을 지닌 집단들 사이의 차이를 측정하는 조사방법은?
① 코호트(cohort) 조사
② 패널(panel) 조사
③ 서베이(survey) 조사
④ 추세(trend) 조사
30. 다음에 나타난 실험 설계는?
- 비교를 위한 두 개의 집단이 있다.
- 외부요인 효과의 발생 가능성을 배제하기 어렵다.
- 상관관계 연구와 유사한 성격을 지닌다.
- 집단 간 동질성 보장이 어렵다.
① 다중 시계열(multiple time-series) 설계
② 플라시보 통제집단(placebo control group) 설계
③ 통제 집단 사후검사(posttest control group) 설계
④ 정태집단 비교(static group comparison) 설계
31. 신뢰도 측정 방법의 하나인 반분법(split-halves method)에 관한 스피어만-브라운(Spearman-Brown) 공식의 가정으로 맞는 것은?
① 질문지 전체가 반쪽보다 신뢰도가 높다.
② 측정 도구가 경험적으로 다차원적이어야 한다.
③ 측정 도구를 반으로 나누어 각각 종속적인 두 개의 척도를 사용한다.
④ 질문의 수가 짝수 개인 질문지가 홀수 개인 질문지 보다 신뢰도가 낮다.
32. 선거예측조사에서 출구조사를 할 경우. 주로 사용되는 표집 방법은?
① 할당표집(quota sampling)
② 군집표집(cluster sampling)
③ 체계적표집(systematic sampling)
④ 층화표집(stratified random sampling)
33. 측정의 체계적 오류와 관련이 있는 것은?
① 통계적 회귀
② 생태학적 오류
③ 환원주의 적 오류
④ 사회적 바람직성 편향
34. 다음 중 표집틀(sampling frame)을 평가하는 주요 요소와 가장 거리가 먼 것은?
① 포괄성
② 안정성
③ 효율성
④ 추출확률
35. 부적절한 표집틀(sampling frame)을 사용하여 얻은 자료가 가지는 문제점으로 맞는 것은?
① 대표성을 결여하게 된다.
② 정확한 측정을 어렵게 한다.
③ 이론적인 적절성이 결여된다.
④ 정확한 가설을 설정하기 어렵다.
36. 표본추출방법에 관한 설명으로 틀린 것은?
① 비확률표본추출방법은 표본추출오차를 구하기 쉽다.
② 확률표본추출방법은 통계치로부터 모수치를 추정할 수 있다.
③ 확률표본추출방법은 모집단의 구성요소가 표본으로 추출될 확률을 알 수 있다.
④ 비확률표본추출방법은 모집단의 구성요소가 표본으로 선정될 확률이 동일하지 않다.
37. 측정하고자 하는 것을 얼마나 정확히 측정했는가에 관한 것은?
① 신뢰도
② 정밀도
③ 판별도
④ 타당도
38. “상경 계열에 다니는 대학생이 이공계열에 다니는 대학 생보다 물가 변동에 대한 관심이 더 높을 것이다."라는 가설에서 ‘상경계열학생 유무’라는 변수를 척도로 나타낼 때 이 척도의 성격은?
① 순위척도
② 서열척도
③ 비율척도
④ 명목척도
39. 층화표집(stratified random sampling)에 대한 설명으로 틀린 것은?
① 층화 시 모집단에 대한 지식이 필요하다.
② 층화한 모든 부분집단에서 표본을 추출한다.
③ 층화한 부분집단 간은 동질적이고, 부분집단 내에 서는 이질적이다.
④ 추정값의 표본오차를 감소시켜 표본의 대표성을 높이기 위해 사용되는 방법이다.
40. 등간척도에 관한 설명으로 틀린 것은?
① 등간척도는 +,-양쪽 다 표시된다.
② 섭씨온도계 및 카드번호에서 사용된다.
③ 평균, 표준편차 등의 통계기법을 적용할 수 있다.
④ 측정 대상의 순위를 표시하면서도 간격이 일정하다는 성질을 가지고 있다.
41. 연구 주제와 관련된 가능한 많은 진술들을 수집하여 평가자들로 하여금 판단토록 한 다음 그 결과를 바탕으로 문항을 선정하는 척도는?
① 거트만 척도
② 서스톤 척도
③ 리커트 척도
④ 총화평정 척도
42. 전수조사와 비교한 표본조사의 특징에 관한 설명으로 옳은 것은?
① 시간과 노력이 많이 든다.
② 비표본오차를 줄일 수 있다.
③ 항상 정확한 자료를 수집할 수 있다.
④ 조사기간 동안에 발생하는 변화를 반영하지 못한다.
43. 표집틀(sampling frame)과 모집단과의 관계로 가장 이상적인 경우는?
① 표집틀과 모집단이 일치할 때
② 표집틀이 모집단 내에 포함될 때
③ 모집단이 표집틀 내에 포함될 때
④ 모집단과 표집틀의 일부분만이 일치할 때
44. 이타심을 ‘모금기관에 매년 기부하는 금액’으로 정의하였다면 이러한 정의는?
① 개념적 정의
② 실제적 정의
③ 사전적 정의
④ 조작적 정의
45. 사용하고 있는 측정도구의 측정값과 기준이 되는 측정 도구의 측정값과의 상관관계로 측정되는 타당도는?
① 액면 타당도
② 구성체 타당도
③ 기준 관련 타당도
④ 다차원 타당도
46. 다음 중 확률표본추출방법을 적용하기 가장 용이한 것은?
① 현지조사(field research)
② 실험(experimentation)
③ 서베이조사(survey research)
④ 참여관찰‘(participant observation)
47. 측정의 오류에 관한 설명으로 옳은 것은?
① 편향에 의해 체계적 오류가 발생한다.
② 무작위 오류는 측정의 타당도를 저해한다.
③ 표준화된 측정도구를 사용하더라도 체계적 오류를 줄일 수 없다.
④ 측정자. 측정 대상자 등에 일관성이 없어 생기는 오류를 체계적 오류라 한다.
48. 서울시민의 정당의식 조사를 위해 첫 번째 단계에서는 임의로 10개동의 표본추출 지역을 선택하였다. 두 번째 단계에서는 해당 10개동의 유권자 비율을 고려하여 주민등록명부를 기준으로 100명의 표집간격을 두고 최종 응답자를 선택하였다. 이때 각 단계에서 활용된 표본추출 방법으로 맞는 것은?
① 첫 번째 단계: 층화표집, 두 번째 단계: 계통표집
② 첫 번째 단계: 집락표집, 두 번째 단계: 계통표집
③ 첫 번째 단계: 층화표집, 두 번째 단계: 무작위표집
④ 첫 번째 단계: 집락표집, 두 번째 단계: 무작위표집
49. 특정한 규칙에 따라 현상에 숫자를 부여하는 과정은?
① 검사
② 통계
③ 척도
④ 측정
50. 대중교통에 대한 시민들의 만족도를 조사하기 위하여 오전 9:00 경에 10군데의 지하철역에 조사자를 배치 하여 일부 시민들의 의견을 조사하였다. 이때 사용된 표집법은?
① 계통표집법
② 비확률표집법
③ 층화표집법
④ 단순무작위표집법
51. 명목척도 구성을 위한 측정범주들에 대한 기본 원칙과 가장 거리가 먼 것은?
① 상호배타성
② 포괄성
③ 논리적 연관성
④ 선택성
52. 개념적 정의에 대한 설명으로 틀린 것은?
① 순환적인 정의를 해야 한다.
② 적극적 혹은 긍정적인 표현을 써야 한다.
③ 정의하려는 대상이 무엇이든 그것만의 특유한 요소나 성질을 직시해야 한다.
④ 뜻이 분명해서 누구나 알아들을 수 있는 의미를 공유하는 용어를 써야 한다.
53. 서열척도에 관한 설명으로 맞는 것은?
① 절대 영이 존재한다.
② 표준측정 단위가 존재한다.
③ 원칙적으로 사칙연산이 가능하다.
④ 분류범주가 상호배타성을 갖고 있다.
54. 조작적 정의에 대한 설명으로 맞는 것은?
① 논리적으로 정의한 것
② 가치중립적으로 정의한 것
③ 측정 가능한 형태로 정의한 것
④ 복잡한 것을 단순하게 정의한 것
55. 측정에 있어서 신뢰성을 높이는 방법으로 가장 거리가 먼 것은?
① 측정항목의 수를 늘린다.
② 측정항목의 모호성을 제거한다.
③ 전문가의 의견을 듣고 문항을 만든다.
④ 중요한 질문의 경우 유사한 문장을 반복하여 물어 본다.
56. 두 변수(X, Y)가 있을 때, 한 변수(X)가 다른 변수(Y)에 시간적으로나 이론적으로 선행하면서 그 변수(X)의 변화가 다른 변수(Y)의 변화에 영향을 미칠 수 있다. 이때 두 변수(X, Y)를 무엇이라고 하는가?
① 독립변수와 종속변수
② 독립변수와 선행변수
③ 종속변수와 매개변수
④ 선행변수와 매개변수
57. 낙태수술의 허용 여부에 대한 국민들의 의견을 조사하기 위하여 다음과 같은 일련의 질문으로 조사할 때 가장 관련이 있는 척도는?
낙태수술이 다음의 각각의 경우에 허용되어야 한다고 생각 하십니까?
1. 산모의 생명이 위험한 경우
2. 강간이나 근친상간에 의해 임신한 경우
3. 태아의 건강 상태가 좋지 않은 경우
4. 산모가 미혼모로서 아이를 키울 능력이 없을 경우
5. 부모는 아들을 원하는데 태아가 딸로 밝혀진 경우
① 리커트 척도
② 거트만 척도
③ 서스톤 척도
④ 의미분화 척도
58. 척도의 신뢰도를 파악하는 방법이 아닌 것은?
① 하나의 척도를 동일인에 대하여 두 번 이상 반복하여 측정한다.
② 여러 평가자들을 통해 얻은 측정 결과들 간의 일치 도를 비교한다.
③ 측정점수를 몇 가지 다른 기준과 비교하여 일치되는 정도를 측정한다.
④ 한 측정도구의 전체 문항들을 반씩 나누어 두 부분 간의 상관성을 측정한다.
59. 구성요소가 5개인 모집단에서 2개를 표본 추출할 경우 가능한 표본 집단의 수는 몇 개인가?
① 5개
② 10개
③ 15개
④ 20개
60. 측정을 위해 개발한 도구가 측정하고자 하는 대상의 정확한 속성값을 얼마나 포괄적으로 포함하고 있는가를 나타내는 타당도는?
① 내용타당성 (content validity)
② 기준관련타당성 (criterion-related validity)
③ 집중타당성 (convergent validity)
④ 예측타당성 (predictive validity)
61. 다음 중 표준편차가 가장 큰 자료는?
① 3 4 5 6 7
② 3 3 5 7 7
③ 3 5 5 5 7
④ 5 6 7 8 9
62. 다음 분산분석표의 (㉠), (㉡)에 들어갈 값으로 맞는 것은?

① ㉠ : 87.5. ㉡ : 6.0
② ㉠ : 87.5. ㉡ : 8.5
③ ㉠ : 92.5, ㉡ : 6.0
④ ㉠ : 92.5. ㉡ : 8.5
63. 다음은 단순회귀분석에서의 분산분석 결과이다. 결정계 수를 구하면?

① 0.15
② 0.18
③ 0.82
④ 0.94
64. 4×5 분할표 자료에 대한 독립성검정에서 카이제곱 통계량의 자유도는?
① 9
② 12
③ 19
④ 2
65. 확률변수 X와 Y의 결합확률밀도함수가 다음과 같을 때. X와 Y의 상관계수는?

① -1
② 0
③ 0.5
④ 1
66. 자료의 위치를 나타내는 척도로 알맞지 않은 것은?
① 표준편차
② 중앙값
③ 백분위수
④ 사분위수
67. 교육수준에 따른 생활만족도의 차이를 다양한 배경 변수를 통제한 상태에서 비교하기 위해서 다중회귀분석을 실시하고자 한다. 교육수준을 5개의 범주로(무학 초졸, 중졸. 고졸. 대졸 이상) 측정하였다. 이때 대졸을 기준으로 할 때, 교육수준별 차이를 나타내는 가변수(Dummy Variable)를 몇 개 만들어야 하는가?
① 1개
② 2개
③ 3개
④ 4개
68. 어느 회사는 노조와 협의하여 오후의 중간 휴식시간을 20분으로 정하였다. 그런데 총무과장은 대부분의 종업 원이 규정된 휴식시간보다 더 많은 시간을 쉬고 있다고 생각하고 있다. 이를 확인하기 위하여 전체 종업원 1.000명 중에서 25명을 조M 결과 표본으로 추출된 종업원의 평균 휴식시간은 22분이고 표준편차는 3분으로 계산되었다. 유의수준 5%에서 총무과장의 의견에 대한 가설검정 결과로 옳은 것은? (단, t(0.05, 24)=1.711)
① 검정통계량 t<1.711이므로 귀무가설을 기각한다.
② 검정통계량 t<1.711이므로 귀무가설을 채택한다.
③ 종업원의 실제 휴식시간은 규정시간 20분보다 더 짧다고 할 수 있다.
④ 종업원의 실제 휴식시간은 규정시간 20분보다 더 길다고 할 수 있다.
69. 대통령 선거에서 A 후보자는 50%의 득표를 할 것으로 예상하고 있다. 이러한 예상을 확인하기 위해 유권자 200명을 무작위 추출하여 조사하였더니 그 중 81명이 A 후보자를 지지한다고 하였다. 이때 검정통계량 값은?
① -2.69
② -1.90
③ 0.045
④ 1.645
70. 회귀분석에서 추정량의 성질이 아닌 것은?
① 유효성
② 선형성
③ 불편성
④ 등분산성
71. 다중회귀분석에 관한 설명으로 틀린 것은?
① 표준화잔차의 절대값이 2 이상인 값은 이상값이다.
② DW(Durbin-Watson) 통계량이 0에 가까우면 독립이다.
③ 표준화잔차와 예측값의 산점도를 통해 등분산성을 검토해야 한다.
④ 분산팽창계수(VIF)가 10 이상이면 다중공선성을 의심해야 한다.
72. 어느 대학에서 2015학년도 1학기에 개설된 통계학 강좌에 A반 20명. B반 30명이 수강하고 있다. 중간고사에서 A반. B반의 평균은 각각 70점. 80점이었다. 이번 학기에 통계학을 수강하고 있는 학생 50명의 중간고사 평균은?
① 70점
② 74점
③ 75점
④ 76점
73. 다음 분산분석표에 관한 설명으로 틀린 것은?

① 총 관측자료 수는 142이다.
② 오차항의 분산 추정값은 11913이다.
③ 요인은 Month로서 수준 수는 8개이다.
④ 유의수준 0.05에서 인자의 효과가 인정되지 않는다.
74. 어떤 사람이 즉석당첨복권을 5일 연속하여 구입한다고 하자. 어느 날 당첨될 확률은 1/5이고, 어느 날 구입한 복권의 당첨 여부가 그다음 날 구입한 복권의 당첨 여부에 영향을 미치지 않는다면, 2장이 당첨되고 3장이 당첨되지 않은 복권을 구매할 확률은?
① 10×(1/5)²×(1/5)³
② 2×(1/5)²×(1/5)³
③ 5×(1/5)²×(1/5)³
④ 3×(1/5)²×(1/5)³
75. 크기가 100인 확률표본으로부터 얻은 표본평균에 근거하여 구한 모평균에 대한 90% 신뢰구간의 오차의 한계가 3이라고 할 때. 오차의 한계가 1.5가 넘지 않도록 표본설계를 하려면 표본의 크기를 최소한 얼마 이상이 되도록 하여야 하는가?
① 100
② 200
③ 400
④ 1000
76. 새로운 복지정책에 대한 찬반여부가 성별에 따라 차이가 있는지를 알아보기 위해 남녀 100명씩을 랜덤하게 추출하여 조사한 결과이다. 가설 “Ho : 새로운 복지정책에 대한 찬반여부는 남녀성별에 따라 차이가 없다."의 검정에 대한 설명으로 틀린 것은?

① 가설검정에 이용되는 카이제곱 통계량의 자유도는 1이다.
② 가설검정에 이용되는 카이제곱 통계량의 값은 8이다.
③ 유의수준 0.05에서 기각역의 임계값이 3.84이면 카이제곱검정의 유의확률(P값)은 0.05보다 크다.
④ 남자와 여자의 찬성비율에 대한 오즈비(Odds Ratio)=(P(찬성|남자)/P(반대/|남자))/(P(찬성|여자)/P(반대/|여자))=(0.4/0.6)/(0.5/0.4)=0.444으로 구해진다.=0.444로 구해진다.
77. X₁, X₂, …, Xₙ이 정규분포(μ, ο²)에서 얻은 확률표본일 때의 설명으로 맞는 것은?
① (X'-μ)/(σ/√n)는 N(0,1)에 따른다.
② (X'-μ)/(σ/√n)는 N(μ,1)에 따른다.
③ (X'-μ)/(σ/√n)는 N(μ, ο²)에 따른다.
④ (X'-μ)/(σ/√n)는 N(0,ο²)에 따른다.
78. 다음 중 상관분석의 적용을 위해 산점도에서 관찰해야 하는 자료의 특징이 아닌 것은?
① 자료의 층화 여부
② 이상점의 존재 여부
③ 원점(0.0)의 통과 여부
④ 선형 또는 비선형 관계의 여부
79. 두 변수 X와 Y에 대해서 9개의 관찰값으로부터 계산한 통계량들이 다음과 같을 때. 단순회귀모형의 가정하에 추정한 회귀직선은?

① Ŷ=-1.07-2.74x
② Ŷ=-1.07+2.74x
③ Ŷ=1.07-2.74x
④ Ŷ=1.07+2.74x
80. 부적합률이 0.05인 제품을 20개씩 한 박스에 넣어서 포장하였다. 10개의 박스를 구입했을 때. 기대되는 부적합품의 총 개수는?
① 1개
② 5개
③ 10개
④ 15개
81. 분산분석에 대한 설명으로 옳은 것은?
① 분산분석이란 각 처리집단의 분산이 서로 같은지를 검정하기 위한 방법이다.
② 비교하려는 처리집단이 k개 있으면 처리에 의한 자유도는 k-2가 된다.
③ 일원배치분산분석에서 일원배치의 의미는 반응변수에 영향을 주는 요인이 하나인 것을 의미한다.
④ 두 개의 요인이 있을 때 각 요인의 주효과를 알아보기 위해서는 요인 간 교호작용이 있어야 한다.
82. 피어슨의 대칭도를 대표치들 간의 관계식으로 바르게 나타낸 것은? (단, X' : 산술평균, Me : 중위수, Mo : 최빈수)
① X'-MO=3(Me-X')
② MO-=3(Mo-Me)
③ X'-MO=3(X'-Me)
④ MO-=3(Me-Mo)
83. 통계적 가설의 기각 여부를 판정하는 가설검정에 대한 설명으로 옳은 것은?
① 표본으로부터 확실한 근거에 의하여 입증하고자 하는 가설을 귀무가설이라 한다.
② 유의수준은 제2종 오류를 범할 확률의 최대허용한계이다.
③ 대립가설을 채택하게 하는 검정통계량의 영역을 채택역이라 한다.
④ 대립가설이 옳은데도 귀무가설을 채택함으로써 범하게 되는 오류를 제2종 오류라 한다.
84. 상관계수에 대한 설명으로 틀린 것은?
① 두 변수의 직선관계를 나타내는 척도이다.
② 상관계수는 -1에서 1 사이의 값을 갖는다.
③ 상관계수가 o에 가깝다는 의미는 두 변수 간의 연관성이 없다는 의미이다.
④ 상관계수 값이 1이나 -1에 가깝다는 의미는 두 변수 간의 강한 연관성을 가지고 있다는 의미이기도 한다.
85. 어떤 산업제약의 제품 중 10%는 유통과정에서 변질되어 부적합품이 발생한다고 한다. 이를 확인하기 위하여 해당 제품 100개를 추출하여 실험하였다. 이때 10개 이상이 부적합품일 확률은?
① 0.1
② 0.3
③ 0.5
④ 0.7
86. 일원분산분석모형에서 오차항에 대한 가정에 해당되지 않는 것은?
① 일치성
② 정규성
③ 독립성
④ 등분산성
87. 어떤 가설검정에서 유의확률(P-값)이 0.044일 때 검정결과로 옳은 것은?
① 귀무가설을 유의수준 1%와 5%에서 모두 기각할 수 없다.
② 귀무가설을 유의수준 1%와 5%에서 모두 기각할 수 있다.
③ 귀무가설을 유의수준 1%에서 기각할 수 있으나 5%에서는 기각할 수 없다.
④ 귀무가설을 유의수준 1%에서 기각할 수 없으나 5%에서는 기각할 수 있다.
88. 모평균과 모분산이 각각 μ, σ²인 모집단으로부터 크기 2인 확률표본 X₁, X₂를 추출하고 이에 근거하여 모평균 μ를 추정하고자 한다. 모평균 μ의 추정량으로 다음의 두 추정량을 고려할 때, 일반적으로 θ₁보다 θ₂이 선호되는 이유는?

① 유효성
② 일치성
③ 충분성
④ 비편향성
89. 단순회귀모형 Y=β₀+β₁x+ε, ε~N(0, σ²)를 이용한 적합된 회귀식 ŷ=30+0.44x에 대한 설명으로 맞는 것은?
① 종속변수가 0일 때. 독립변수 값은 0.44이다.
② 독립변수가 0일 때. 종속변수 값은 0.44이다.
③ 종속변수가 한 단위 증가할 때. 독립변수의 값은 평균 0.44 증가한다.
④ 독립변수가 한 단위 증가할 때, 종속변수의 값은 평균 0.44 증가한다.
90. LCD 패널을 생산하는 공장에서 출하 제품의 질적 관리를 위하여 패널 100개를 임의 추출하여 실제 몇 개의 결점이 있는가를 세어본 결과 평균은 5.88개. 표준편차는 2.03개였다. 모평균 추정량의 표준오차의 추정치는?
① 0.203
② 0.103
③ 0.230
④ 0.320
91. 전체 인구의 2%가 어느 질병을 앓고 있다고 한다. 이 질병을 검진하기 위해 사용되고 있는 어느 진단 시약은 질병에 걸린 사람 중 80%, 질병에 걸리지 않은 사람 중 10%에 대해 양성반응을 보인다. 어떤 사람의 진단 테스트 결과가 양성반응일 때. 이 사람이 질병에 걸렸을 확률은?
① 7/57
② 8/57
③ 10/57
④ 11/57
92. 다음 중 정규분포의 정규곡선을 설명한 것으로 맞는 것은 모두 몇 개인가?
- 정규곡선은 중앙값을 중심으로 좌우대칭을 이룬다.
- 정규곡선의 형태와 위치는 평균과 표준편차에 의해 결정 된다.
- 정규곡선 밑의 면적은 1이다.
- 정규곡선이 그려지는 확률변수의 범위는 -∞에서 +∞까지이다.
① 1개
③ 3개
② 2개
④ 4개
93. 국회의원 후보 A에 대한 청년층 지지율 p₁과 노년층 지지율 p₂의 차이 p₁-p₂는 6.6%로 알려져 있다. 청년층과 노년층 각각 500명씩 랜덤 추출하여 조사하였더니, 위 지지율 차이는 3.3%로 나타났다. 지지율 차이가 줄어들었다고 할 수 있는지를 검정하기 위한 귀무가설 H₀와 대립가설 H₁은?
① H₀:p₁-p₂=0.033, H₁:p₁-p₂>0.033
② H₀:p₁-p₂>0.033, H₁:p₁-p₂≤0.033
③ H₀:p₁-p₂<0.066, H₁:p₁-p₂≥0.066
④ H₀:p₁-p₂=0.066, H₁:p₁-p₂<0.066
94. 어느 조사에서 응답자가 조사에 응답할 확률이 0.4라고 알려져 있다. 1.000명을 조사할 때. 응답자 수의 기댓값과 분산은?
① 기댓값=400. 분산=120
② 기댓값=400, 분산=240
③ 기댓값=600. 분산=120
④ 기댓값=600. 분산=240
95. 곤충학자가 70마리의 모기에게 A 회사의 살충제를 뿌리고 생존시간을 관찰하여 =18.3, s=5.2를 얻었다. 생존시간의 모평균 μ에 대한 99% 신뢰구간은?
① 8.6 ≤ μ ≤ 28.0
② 16.7 ≤ μ ≤ 19.9
③ 17.1 ≤ μ ≤ 19.5
④ 18.1 ≤ μ ≤ 18.5
96. 크기가 5인 확률표본에 대해 ∑(j=1, 5)xj=10과 ∑(j=1, 5)xj²=30을 얻었다면, 표본변이계수(coefficient of variation)는? 5 j=1
① 0.5
② 0.79
③ 1.0
④ 1.26
97. 다음 사례에 알맞은 검정방법은?
도시지역의 가족과 시골 지역의 가족 간에 가족의 수에 있어서 평균적으로 차이가 있는지를 알아보고자 도시지역과 시골 지역 중 각각 몇 개의 지역을 골라 가족의 수를 조사하였다.
① F-검정
③ X²-검정
② 더빈 왓슨검정
④ 독립표본 t-검정
98. 자료 x₁, x₂, …, xₙ을 zi=axi+b, i=1, 2, …, n(a, b는 상수)으로 변환 할 때, 평균과 분산에 있어서 변환한 자료와 원자료 사이에 성립하는 관계식은? (단, 원자료의 평균과 분산은 각각 x', sx²이고, 변환한 자료의 평균과 분산은 각각 z', sz²이다.)
① z'=ax', sz²=a²sx²
② z'=ax'+b, sz²=a²sx²
③ z'=ax'+b, sz²=a²sx+b
④ z'=ax'+b, sz²=asx²+b
99. A 분포와 B 분포의 특성에 관한 설명으로 틀린 것은?

① A의 분산은 B의 분산보다 크다.
② A의 왜도는 양(+)의 값을 가진다.
③ B의 왜도는 음(-)의 값을 가진다.
④ A의 최빈값은 B의 최빈값보다 작다
100. 골동품 시장에서 거래되는 그림의 20%가 위조품이라고 가정한다. 오래된 그림의 진위를 감정하는 감정사들이 진품 그림을 진품으로 평가할 확률은 85%이고, 위조 그림을 진품으로 감정할 확률은 15%이다. 한 고객이 감정사가 진품이라고 감정한 그림을 샀을 때. 구입한 그림이 진품일 확률은?
① 0.85
③ 0.95
② 0.90
④ 0.96
'ExamData' 카테고리의 다른 글
| 2023년까지 시행한 환경기능사 자격검정 현황, 필기시험 기출문제 CBT (0) | 2024.03.22 |
|---|---|
| 2024년 한국산업인력공단 시행 41회 관세사 1차 시험 가답안 (3월 16일 시행) (0) | 2024.03.21 |
| 2024년 신설 국가기술자격 경영정보시각화능력 모의문제 B형, CBT (2) | 2024.03.16 |
| 2024년 신설 국가기술자격 경영정보시각화능력 모의문제 A형, CBT (1) | 2024.03.16 |
| 한국산업인력공단 2024년 1회 기사, 산업기사, 서비스 분야 국가기술자격 정기 필기시험 응시 현황 (0) | 2024.03.14 |






